[摘要]介绍了差压变送器零位电流异常引起的成套孔板蒸汽流量计差错量计算方法。
本文所述的孔板蒸汽流量计是指成套差压式蒸汽流量计,主要由标准孔板、压力变送器、差压变送器、温度传感器、流量积算器及管道与阀门附件等组成并得到广泛应用。实际工作中如果出现变送器零位、量程异常或是运算功能设置错误,都会导致该流量计的蒸汽累积量产生显著差错,而且蒸汽的实际用量将难以准确推算,造成蒸汽费用结算困难,计量纠纷就随之产生,而纠纷的处理往往旷日持久,甚至走上漫长的诉讼道路,给供、用汽双方造成巨大的心理压力和财产损失。
差压变送器有时会发生零位电流偏离正常值的情况,引起的差错量就会直接反映在成套流量计的蒸汽累积值上。下面以差压变送器零位电流正偏差为例进行差错量计算。设孔板设计最大瞬时流量为qamx,差压变送器线性工作,流量积算器开方运算,其正常输出电流I,零位正常输出电流为4mA,满量程正常输出电流为lmx,则流量计的瞬时流量为

设差压变送器异常零位输出电流为lo,在差压变送器零位电流偏离状态下,一般会引起满量程电流的变化,将此时的满量程电流设为lmxl,可得差压变送器正常输出电流I与异常输出电流I1的关系为

I1输入流量积算器后,对应的瞬时流量为

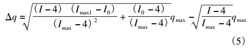
流量积算器输出的瞬时流量差错量△q

将(2)式代入(4)式整理后得流量积算器瞬时流量的差错量Aq如下式所示

设测得差压变送器的零位异常电流为5mA,满量程工作电流laxl=lams=20mA,即差压变送器的输出电流范围从正常的16mA缩小至15mA。若此孔板设计最大瞬时流量qamcx=10t/h,流量积算器工作正常,即零位工作电流为4mA,满量程工作电流l=20mA,代入(5)式得瞬时流量的差错量△g为

设蒸汽流量累积时间为t,其他仪表正常工作并不考虑产生的相应误差,则累积流量的差错量△Q为

设该单位白天8h用汽,孔板蒸汽流量计全天24h通电工作,当零位异常电流5mA,满量程电流20mA时,从以上相关各式可得表1。

由表1可知,当差压变送器零位电流从4mA抬高1mA至5mA后,实际流量为零时的瞬时流量差错量达最大值为2.5t/h,为满量程正常瞬时流量10t/h的1/4。差错量随着实际流量的增大而迅速减小,16h不用汽时的差错量为2.5t/hx16h=40t。如果全天都不用汽,则24h蒸汽差错量最高达60t。对于孔板蒸汽流量计,不管什么原因引起差压变送器的零位电流异常抬高,都可能导致累积值的较大变化,这是由节流式流量计的工作特性决定的。特别是节假日放假停产的蒸汽用户,如果差压变送器输出电流回零不正常,流量积算器的小信号切除又不到位,假期过后往往有投诉停汽期间蒸汽累积量增加的情形。值得一提的是用汽时实际瞬时流量一般是不断变化的,要准确推算出蒸汽差错量相当困难。因此,在实际工作中,要高度重视差压变送器零位输出电流是否正常,加强蒸汽流量计的日常巡查与维护工作。同时,要使用计量性能稳定的差压变送器,改善成套蒸汽流量计的工作条件等,对于预防发生差错及避免计量纠纷都具有重要意义。
本文地址:http://m.shyoufu.cn/gsxw/514.html
-
有智能分层视镜的资料吗
-
我司需上一批智能分层视镜,请回电/先短信通知
-
能举例说明如何校验绝对压力变送器有吗?
量程 0~1000mbar ABS 如何校验?
欢迎致电我司技术
-
SFSD20有具体尺寸吗
与SFSD23尺寸一致,只是接头不同。
-
怎么选流量计呢,需要知道哪些参数
流量计的选型,需要知道测量的介质、温度、压力以及安装方式,然后就知道使用哪种流量计比较合理了。
-
电磁流量计为什么不可以测量不导电的介质呢?
电磁流量计是根据法拉第电磁感应定律进行流量测量的流量计,通过切割磁力线来测量液体的流量的。
-
由于氧化的柴油粘污在玻璃面板上,导致无法看清液位,应该怎么办
您好!已转技术联系您。